Hôm 9 và 10/8, thí sinh ở hầu hết các tỉnh thành trên cả nước (trừ Đà Nẵng) đã hoàn thành kỳ thi tốt nghiệp THPT năm 2020. Một số đề thi năm nay được đánh giá "dễ thở", cũng có đề thi được đánh giá quá sức thí sinh. Ngày 11/8, các địa phương đã bắt đầu làm phách và chuẩn bị chấm thi tốt nghiệp THPT 2020.
Thông tin từ tờ Tuổi Trẻ, công tác chấm chi năm nay được giao về cho địa phương tổ chức thành lập ban chấm thi trắc nghiệm và ban chấm thi tự luận. Cán bộ trường đại học không trực tiếp tham gia khâu chấm thi mà được tăng cường kiểm tra, giám sát quá trình chấm. Bộ Giáo dục và Đào tạo cũng thành lập các đoàn đi kiểm tra, thanh tra công tác chấm thi tại địa phương, đảm bảo đúng quy chế.
Đối với các bài chấm thi tự luận, mỗi bài thi được hai cán bộ chấm thi ở hai tổ chấm khác nhau. Đối với chấm thi trắc nghiệm, Bộ Giáo dục và Đào tạo tiếp tục quét túi từng bài thi và niêm phong lại ngay, tránh có sự tác động, can thiệp. Đồng thời, Bộ Giáo dục và Đào tạo yêu cầu ban hành tiêu chuẩn các thiết bị rất rõ ràng như giấy, phần mềm máy tính... chấm thử một số bài, khi thấy đảm bảo chính xác, an toàn mới chấm chính thức.
| Dự kiến ngày 27/8 các Sở Giáo dục và Đào tạo sẽ công bố điểm thi tốt nghiệp THPT năm 2020. |
Theo quy chế thi của Bộ Giáo dục và Đào tạo, cách xét điểm thi tốt nghiệp THPT năm 2020 gồm: 70% điểm thi THPT Quốc Gia và 30% điểm trung bình lớp 12. Điểm xét tốt nghiệp THPT gồm điểm các bài thi thí sinh dự thi để xét công nhận tốt nghiệp THPT, điểm ưu tiên, khuyến khích (nếu có) và điểm trung bình cả năm lớp 12; điểm của từng bài thi được quy về thang điểm 10.
Các bài thi tổ hợp Khoa học tự nhiên và Khoa học Xã hội trong kỳ thi tốt nghiệp THPT năm 2020 sẽ được quy chung về một đầu điểm dựa trên thang điểm 10 chứ không xét riêng từng môn thành phần.
Những thí sinh đủ điều kiện dự thi, không bị kỷ luật từ mức hủy bài thi trở lên, tất cả các bài thi và các môn thi thành phần của bài thi tổ hợp lấy điểm để xét công nhận tốt nghiệp đều đạt trên 1,0 điểm theo thang điểm 10 và có điểm xét tốt nghiệp (ĐXTN) từ 5,0 điểm trở lên.Cụ thể như sau:
Đối với hệ Giáo dục THPT, cách tính điểm như sau:
![]() |
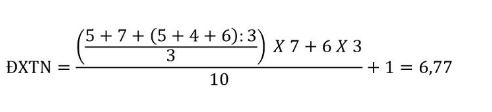
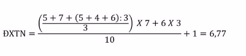
Ví dụ: Một thí sinh A đăng ký thi bài tổ hợp Khoa Học Xã Hội có các điểm thi thành phần cụ thể như sau: Văn: 7.75; Anh: 8.6; Toán: 6.4; Sử: 8.5; Địa: 9; GDCD: 9; điểm trung bình cả năm lớp 12 là 8. Như vậy, điểm của thí sinh A sẽ được tính như sau:
![]() |
Hoặc, thí sinh B lựa chọn bài thi tổ hợp Khoa học Tự nhiên và điểm của các môn bắt buộc như sau: Văn 5, Toán 7, Lý 5, Hóa 4, Sinh 6. Thí sinh này có 1 điểm ưu tiên và không có điểm khuyến khích. Điểm trung bình cả năm lớp 12 là 6. Cách tính điểm của thí sinh B như sau:
![]() |
Đối với hệ Giáo dục Thường Xuyên, cách tính điểm như sau:
![]() |
Thí sinh đã tốt nghiệp sẽ tiếp tục dự thi các bài thi độc lập, bài thi tổ hợp hoặc các môn thi thành phần của bài thi tổ hợp, phù hợp với tổ hợp bài thi, môn thi xét tuyển vào ngành, nhóm ngành theo quy định để xét tuyển đại học, cao đẳng.
Đáp án chính thức các môn thi đã được công bố theo tiến độ chấm thi để phòng ngừa gian lận. Bộ Giáo dục và Đào tạo cũng sẽ công bố phổ điểm các môn sau khi đã thực hiện đối sánh với kết quả điểm học bạ của thí sinh.
Dự kiến ngày 27/8 các Sở Giáo dục và Đào tạo sẽ công bố điểm thi tốt nghiệp THPT năm 2020.







